上海恒點傳動設備有限公司
加微信聯系 恒點減速機QQ2:51228482
[HTML] [XML]  産品展示産品展示-RSS  新聞中心新聞中心-RSS  技術支持技術支持-RSS
産品分類: 減速機蝸輪絲杆升降機轉向箱蝸輪蝸杆減速機齒輪減速機行星齒輪減速機擺線針輪減速機無級變速機大功率減速器
上海恒點傳動設備有限公司
資訊分類
和産品相關的技術文章
當前位置:網站首頁 > 技術支持 > 圓柱齒輪、錐齒輪和準雙曲面齒輪膠合承載能力計算方法第1部分:閃溫法齧合線上的參數(GB/Z6413.1-2003)

圓柱齒輪、錐齒輪和準雙曲面齒輪膠合承載能力計算方法第1部分:閃溫法齧合線上的參數(GB/Z6413.1-2003)

Tags: HD螺旋錐齒換向器    發布時間: 2015-06-02
7 齧合線上的參數
齧合線上的點用無量綱線性參數гy來表示,在齧合線與小輪基圓的切點處гy爲-1,在節點處гy爲0[33],見圖3。
a 基節
圖3 齧合線上的參數
在接觸(chù)軌迹上的任意點處(chù):
在接觸(chù)軌迹的下界點處(chù):
在單對齒(chǐ)齧合區下界點處(chù):
在單對齒(chǐ)齧合區上界點處(chù):
在接觸(chù)軌迹的上界點處(chù):
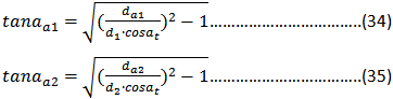
上述式中,齒(chǐ)頂(dǐng)壓力角定義爲:
錐齒輪的參數既可以用當量幾何參數來計算(見GB/T 10062.1附錄A),也可以用下述公式計算(也适用於軸交角∑=δ12不等於90°時的情況)。
在齧合線上的任意點處:
ρy1=Rm·tanδ1·sinat·(1+гy) …………………………………………(37)
ρy2=Rm·tanδ1·sinat·(u+гy) …………………………………………(38)
在齧合線上的特征點處:
上述式中,壓(yā)力角被定義爲(wèi) :
式中:
δ1——小輪的節錐角,單位爲度(°);
δ2——大輪的節錐角,單位爲度(°);
Rm——中點(齒寬中心)錐距,單位爲毫米(mm);
ham1——小輪齒寬中點齒頂高,單位爲毫米(mm);
ham2——大輪齒寬中點齒頂高,單位爲毫米(mm);
rm1——小輪齒寬中點節圓半徑,單位爲毫米(mm);
rm2——大輪齒寬中點節圓半徑,單位爲毫米(mm)。
上一篇 上一篇: 圓柱齒輪、錐齒輪和準雙曲面齒輪膠合承載能力計算方法第1部分:閃溫法磨擦因數(GB/Z6413.1-2003)
下一篇 下一篇: 圓柱齒輪、錐齒輪和準雙曲面齒輪膠合承載能力計算方法第1部分:閃溫法齧入系數(GB/Z6413.1-2003)
相關新聞文章 > 查看更多
軸承異響-關聯部件與設計問題 2026-01-26
滑動軸承主要故障規則 2025-12-15
變頻器應用中的幹擾問題及其對策 2025-11-24
簡述火焰矯正的原理 2025-10-30
車削螺紋時常見故障及解決方法-中徑不正確 2025-09-01
如何實現測量系統在複雜車間環境下的應用 2025-07-09
國産的閉式齒輪油有哪些種? 2025-06-13
錐齒輪承載能力計算方法第1部分:概述和通用影響系數動載系數KV(GB/T10062.1-2003) 2025-04-25
齒輪圓周力是怎麽計算出來的 2025-02-24
什麽是高溫軸承?主要用於哪些領域? 2025-01-16
什麽是軸承規格? 2024-12-10
什 麽 是 滾 動 體 引 導 2024-11-25
返回頂部 關閉本頁】 【打印本頁
電 話:021-22815912  021-22816186  傳 真:021-32050712   郵箱:sales@021jsj.cn  減速機 絲杆升降機 轉向箱 蝸輪蝸杆減速機
Copyright©2009-2026上海恒點傳動設備有限公司 版權所有  地址:上海市金山區亭林鎮林寶路39号  郵編:200442  滬ICP備10206998号-2 
友情鏈接機械設備網 | 渦街流量計 | 輸送機 | 變頻控制櫃 | 破碎機 | 工業同城 | 手持終端 | 柴油發電機 | uv平闆打印機 | 風淋室 | QUV | 防火門 | 九愛圖紙 | 感應加熱設備 | 輸送帶廠家 | 噪聲治理 | 西門子plc | 拖鏈電纜 | AGV | 機械雜志 | 現代機械 | UWB高精度定位 |